最新科研进展
近期,意大利卡塔尼亚天文台Antonio Frasca教授与北京师范大学付建宁教授等团队合作,利用LAMOST第11次数据发布(DR11)的中分辨率光谱,对著名年轻疏散星团——昴星团中的283颗晚型成员星进行了系统研究,取得重要进展。
该研究以“LAMOST medium-resolution observations of the Pleiades”为题,发表在国际著名天文期刊《Astronomy and Astrophysics》。Frasca教授为论文的第一及通讯作者,北京师范大学张嘉怡硕士为第二作者,付建宁教授为合作作者。
昴星团是银河系中距离地球最近的年轻疏散星团之一,年龄约为100Myr,其成员星大多处于稳定核聚变阶段,是研究类太阳恒星在星团环境中演化的关键对象。该研究通过将昴星团星表与LAMOST DR11星表交叉匹配,基于ROTFIT代码分析了1581条LAMOST中分辨率光谱,最终为283颗恒星测定了有效温度(Teff)、表面重力(logg)、金属丰度([Fe/H])、视向速度(RV)及投影自转速度(vsini)。结果显示,这些恒星的RV分布峰值约为5.0 km/s,平均金属丰度接近太阳值([Fe/H]=−0.03±0.06)。
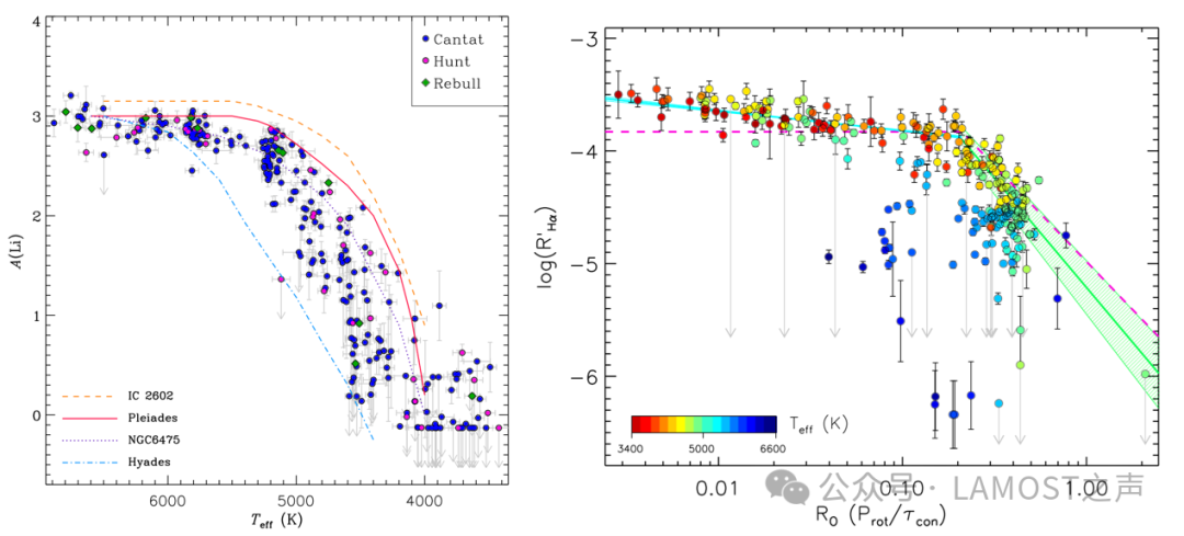
同时,研究团队通过测量Hα发射线和LiI 6708 Å吸收线的等值宽度,探讨了目标星的色球层活动与锂丰度特征。结果表明,所有目标星均展现出与年轻星团一致的活动水平,而Teff低于6500 K的恒星表现尤为显著。如图1的左图所示,根据对锂吸收线的测量结果,通过估算得出昴星团的年龄为118±6 Myr,位于对应年龄分别为30 Myr和300 Myr的两个星团的锂丰度上包络线之间。该结果与被广泛接受的该星团年龄估计值一致。在恒星自转研究方面,研究人员利用TESS数据测得89颗目标星的自转周期,从而进一步分析了Hα发射强度与自转周期Prot及Rossby数(Ro)之间的关系,如图1的右图所示。结果显示,即便在高饱和区(Ro≤0.21),Hα发射强度仍可能随Ro减小而略有增强,说明恒星活动可能受到更复杂的调控机制影响。

图1:左:昴星团成员星的锂丰度与有效温度(Teff)之间的关系,三个颜色的符号分布代表来自三个样本的恒星。图中标示了四个年轻星团的锂丰度上包络线:IC 2602(黄色虚线;年龄约为30 Myr)、昴星团(红色实线;本研究的拟合结果)、NGC 6475(紫色虚线;约300 Myr)和毕宿星团(蓝色虚线;约650 Myr)。右:Hα相对辐射强度与Rossby 数(Ro)的关系。红色虚线为经验关系,蓝色实线为本研究在冷星饱和区域(Ro≤0.21)的最佳拟合结果,绿色实线对应Ro较大范围内恒星的拟合关系,阴影区域表示1σ的误差范围。
此外,通过多历元RV变化分析,研究团队识别出39颗单谱双星(SB1)和10颗双谱双星(SB2)候选体,包括多个新发现目标。其中,QQ Tau被首次确认为SB2候选体,并获得了其RV轨道解。
本研究不仅深化了对年轻恒星自转与磁活动关系的理解,也凸显了高质量光谱数据在恒星物理研究中的核心作用。所获结果为今后的相关研究提供了坚实的数据基础,并为构建恒星活动与演化理论模型提供了重要参考,有助于揭示自转、磁活动与锂丰度之间复杂的相互作用机制。
该工作得到了国家自然科学基金委员会(项目号:12090040、12090042、12427804)、中国载人航天工程及中央引导地方科技发展专项(ZYYD2025QY27)项目的资助。
论文链接:
https://doi.org/10.1051/0004-6361/202553673



